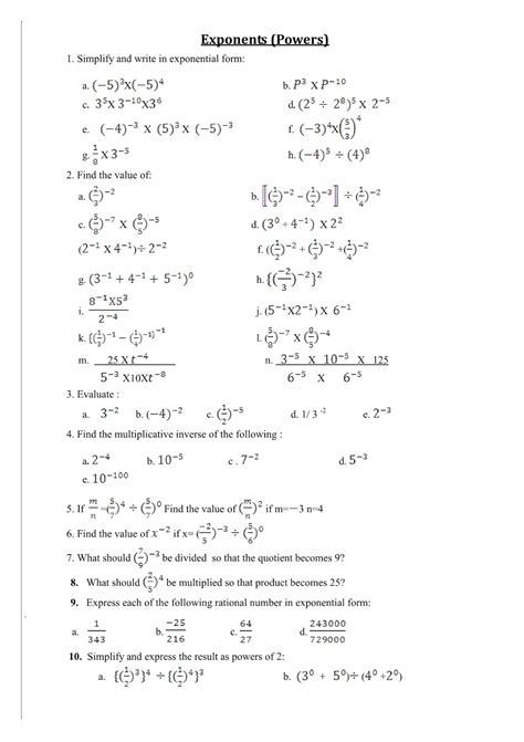
Worksheet On Exponents Grade 8

Worksheet On Exponents Grade 8. Match the following add to my workbooks (0) download file pdf embed in my website or blog. Simplify the following using the rules of exponents and express the answer in terms of positive exponents.

21 8th Grade Exponents Worksheets madhawiesdiary
21 8th Grade Exponents Worksheets madhawiesdiary from madhawiesdiary.blogspot.com

Web exponents worksheets and online activities. Web laws of exponents worksheets. Web this assortment of printable exponents worksheets designed for grade 6, grade 7, grade 8, and high school is both meticulous and prolific.

Write The Following As A Single Exponent Using Properties Of Exponents.


Free interactive exercises to practice online or download as pdf to print. Simplify the following and express the answer as an exponent. Utilize our printable laws of exponents worksheets as an essential guide for operating on problems with exponents.

Web Grade 8 Exponents Worksheets.


Match the following add to my workbooks (0) download file pdf embed in my website or blog. Web laws of exponents worksheets. Web this assortment of printable exponents worksheets designed for grade 6, grade 7, grade 8, and high school is both meticulous and prolific.

5 Questions Practice What You’ve Learned, And Level Up On The Above Skills.


Simplify the following using the rules of exponents and express the answer in terms of positive exponents. As well as cracking the distinctly. Web leave the answer in the exponent form.

Download These Free Worksheets And Practice.


Laws of exponents (recap) negative exponents. The revenue function of a retail store is modelled by the equation (in hundreds of dollars), where is the number of years after it is opened. This grade 8 mathematics caps aligned worksheet tests the skills that should be learnt for exponents in grade 8, from theory to.

Web Exponents Worksheets And Online Activities.