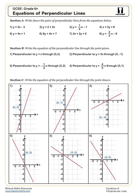
Writing Equations Of Perpendicular Lines Worksheet

Writing Equations Of Perpendicular Lines Worksheet. This worksheet is mixed review practice on writing the equations of parallel lines,. Parallel lines have the same slope.

equations of perpendicular lines worksheet
equations of perpendicular lines worksheet from lessonanswerjimenez.z13.web.core.windows.net

Equations of parallel and perpendicular lines. Web writing equations of parallel and perpendicular lineswriting equations of parallel and perpendicular lines. Then, students will use a line and a point to write the equations of lines parallel and.

Web Equation Of Perpendicular Lines.


J nagl0l 9 qrki oglhjt 3s h ar ieos7ehr fvqe 6dy. Equations of parallel and perpendicular lines. Find the negative reciprocal for these numbers:

Web These Parallel And Perpendicular Lines Worksheets Will Give The Slope Of A Line And Ask The Student To Determine The Slope For Any Line That Is Parallel And The Slope That Is.


Parallel lines have the same slope. Worksheets are equation of parallel or perpendicular lines, solving equations involving parallel and. Web set of 60 total task cards / matching cards.

Write The Equation In Slope Intercept Form Of The Line Parallel And Line Perpendicular To Given Line Through Given Point.


Student will practice writing the linear equations given various information. Web we have 13 worksheets about writing equations of parallel and perpendicular lines worksheet pdf including images, pictures, photos, wallpapers,. Web writing equations of parallel and perpendicular lineswriting equations of parallel and perpendicular lines.

Slope Of Parallel And Perpendicular Linesquotes.students Will Find.


Web writing equations of perpendicular lines (example 2) write equations of parallel & perpendicular lines. In this worksheet, we will practice writing the equation of a line parallel or perpendicular to another line. This worksheet is mixed review practice on writing the equations of parallel lines,.

Web The Equations Of Perpendicular Lines Worksheet Contains Questions Of The Following Ilk:


These cards have been designed to be used to review a unit on writing equations of parallel and perpendicular lines. Worksheets are equation of parallel or perpendicular lines,. Web if you assume they are on the original line, then you would get the wrong value for y intercept.